Science unlocked: publication picks from November 2025
In this monthly series, we share a selection of recent publications that use Oxford Nanopore sequencing to unlock novel insights. Spanning genome assembly gap filling, pathogenic variant identification, and bacterial methylome profiling, these studies showcase the advances in scientific research made possible by Oxford Nanopore sequencing.
Featured in this edition:
1. High-quality genome assemblies from saliva
2. Rich insights for pathogenic variant discovery
3. Preserving DNA integrity at room temperature
4. Robust and reproducible methylome profiling
Bioinformatics
1. Targeted sequencing and iterative assembly of near-complete genomes (Nature Communications)
Gamaarachchi and Stevanovski et al. present Cornetto, a new genome assembly strategy that uses Oxford Nanopore adaptive sampling to selectively reject reads from regions that are already assembled and focus sequencing effort on the most challenging regions of the genome. This boosts assembly quality while saving on cost and data requirements. Cornetto enabled the authors to generate highly complete human and non-human genome assemblies, even from challenging sample types.
Key points:
By focusing on unresolved genomic regions, Cornetto markedly improved assembly contiguity compared to whole-genome sequencing alone
The method delivered near-complete human genomes using Oxford Nanopore data alone, which normally requires multiple platforms
Cornetto assembled high-quality genomes from saliva, demonstrating that invasive sampling strategies are no longer necessary
It also worked for non-human vertebrates, improving assemblies for endangered birds, turtles, and fish
The method accurately resolved challenging repetitive loci which could be clinically relevant, potentially enabling precise molecular diagnoses in the future
'Cornetto enables us to generate highly complete diploid human genome assemblies using only nanopore LRS data, surpassing the quality of previous efforts at a fraction of the cost'
Gamaarachchi, H. and Stevanovski, I. et al. 1
Watch the video to hear more from lead author Ira Deveson at London Calling 2025
Find out how you can get started with adaptive sampling.
Human genetics
Short-read sequencing is the current gold standard for genetic testing, however, the short reads limit its capabilities to span large structural variants or repetitive genomic regions. Nanopore technology generates any-length reads, from short to ultra-long. Urtis et al. performed Oxford Nanopore sequencing on over 500 samples to assess its ability to detect pathogenic variants previously identified by short-read sequencing (SRS). Oxford Nanopore matched the performance of short read technology while offering clear advantages for resolving complex variants and difficult genomic regions.
Key points:
Oxford Nanopore data showed improved resolution of complex or GC-rich regions and accurately mapped areas affected by pseudogenes
Intronic coverage more than doubled with nanopore data compared with short-read data, enabling the detection of deep intronic pathogenic variants
Oxford Nanopore sequencing revealed more data, including enhanced structural variant detection, a previously missed exon deletion, precisely defined breakpoints, and clarified a chromosomal deletion
With a turnaround time of under 24 hours, the Oxford Nanopore workflow shows potential to support urgent clinical cases in the future
Figure: graphical abstract. The authors evaluated the ability of Oxford Nanopore technology to detect pathogenic and likely pathogenic (P/LP) variants previously identified by short-read sequencing (SRS) and confirmed via Sanger sequencing, multiplex ligation-dependent probe amplification (MLPA), or quantitative-PCR (qPCR), whilst also overcoming intrinsic limitations of SRS. SV = structural variants; CNVs = copy number variants; SNVs = small nucleotide variants; indels = insertions/deletions. Redistributed from Urtis et al.2 under Creative Commons Attribution CC BY license.
Urtis et al. used the MinION, GridION, and PromethION devices for this study. Hear from others in the Nanopore Community about how nanopore technology offers scalability without compromise.
3. Ensilication preserves high-molecular-weight native DNA for clinical long-read sequencing (medRxiv)
Ferrasse, Mendez, and Gorzynski et al. show that ensilication — a silica-based DNA encapsulation method — preserves high-molecular-weight native DNA at room temperature with quality equivalent to −80 °C storage. This could increase accessibility to genomic research, as low-resource laboratories without the facilities or finances for reliable freezers could now safely store DNA at room temperature. When paired with Oxford Nanopore sequencing, ensilicated samples maintained molecular length, sequence fidelity, and methylation patterns, paving the way for future clinical genomics that does not rely on cold-chain infrastructure.
Key points:
Ensilicated DNA produced comparable read-length profiles, Q-scores, and variant-calling accuracy (SNPs, indels, and structural variants) to previously frozen DNA samples
CpG methylation measurements closely matched frozen controls, and classification of methylated versus unmethylated sites remained highly accurate, showing that epigenetic signatures were preserved
Ensilicated DNA resisted degradation even after repeated handling, reducing the need for aliquoting samples
By eliminating the need for ultra-low-temperature storage, ensilication could enable samples to be shipped at ambient temperature, making clinical research more accessible to resource-limited settings and opening new possibilities for in-field studies
True confidence in your data doesn’t just come from a single accuracy metric, it comes from seeing the whole picture. For scientists in the Nanopore Community, a broad view of accuracy has enabled them to unlock rich insights and make discoveries that truly matter. Find out more in the What does accuracy mean to you? blog.
Microbiology
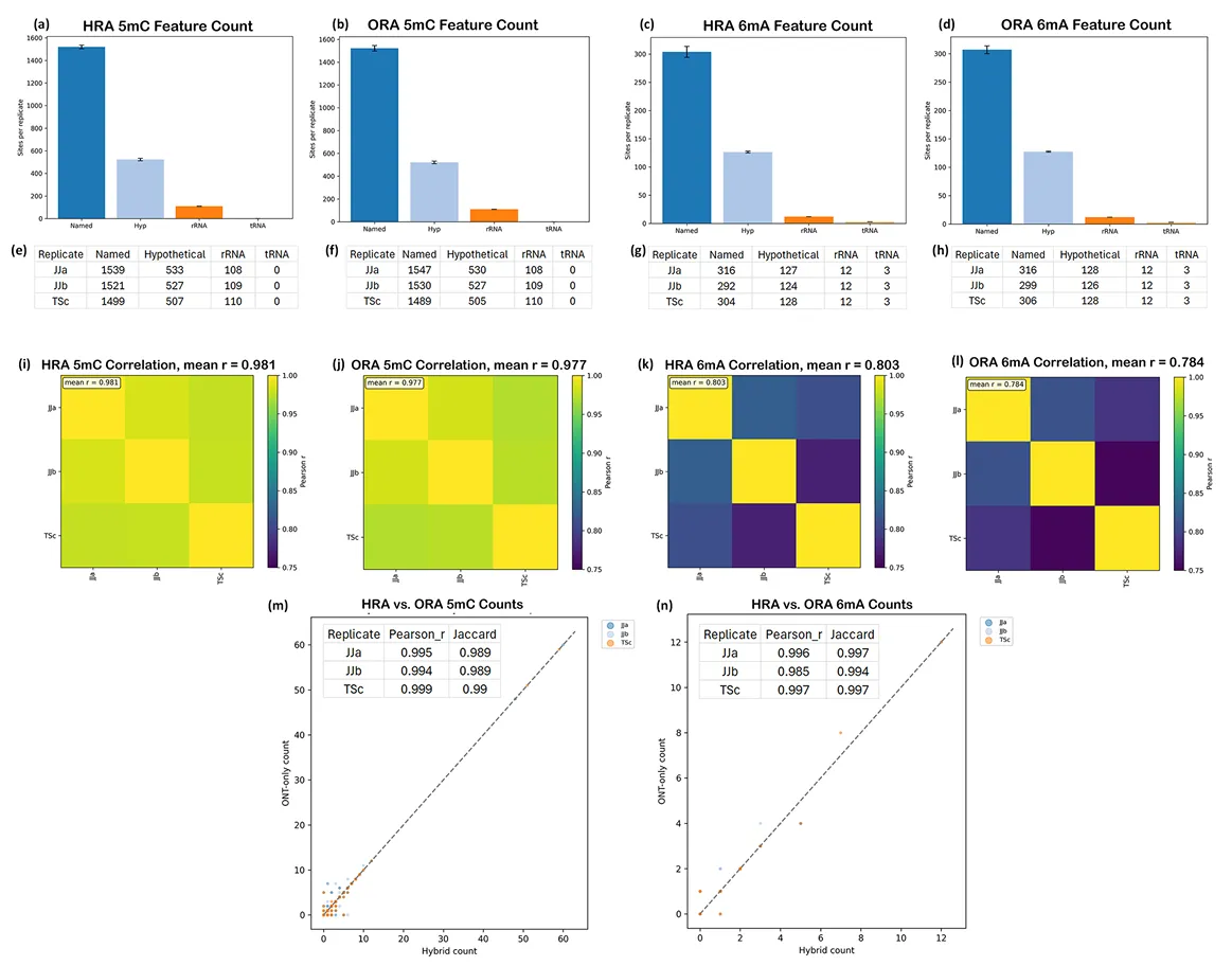
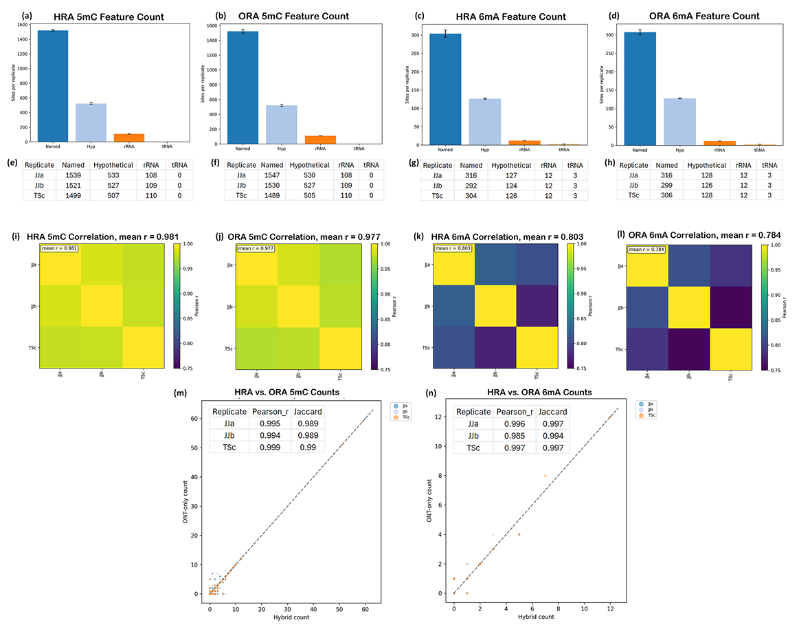
4. Reproducibility and accuracy of bacterial methylome profiling using Oxford Nanopore Technologies nanopore sequencing platform (Microbial Genomics)
With legacy sequencing technologies, methylation detection requires additional, labour-intensive laboratory work. In this multicentre study, Schababerle et al. confirmed that Oxford Nanopore sequencing delivers highly accurate, reproducible bacterial methylome profiles from clinical research isolates as part of a standard sequencing run. Across six operators and 15 libraries, nanopore-only assemblies enabled the researchers to achieve hybrid-level methylome accuracy without the cost, time, or additional work required for short-read sequencing.
Key points:
With nanopore technology, epigenetic modifications are directly analysed from native DNA molecules — in one go, no PCR or additional library prep required
Across all experiments, methylation calls generated using Oxford Nanopore-only reference assemblies showed >99.999% precision and recall when compared to hybrid Illumina-corrected assemblies
Methylation-aware Dorado basecalling accurately resolved both simple motifs (GATC, CCWGG) and more complex degenerate motifs
Operator-to-operator variability was minimal, even with different sample prep methods and DNA qualities
Sites with >200× coverage showed 100% concordance across all replicates
These results confirm nanopore-based methylome profiling as a robust, reproducible, and accessible method for rapid bacterial epigenomic analysis without short-read correction
Figure: Reproducibility of methylation counts for 5mC and 6mA motifs. (a–d) Total methylation site counts mapped to annotated genomic features for hybrid (HRA) and Oxford Nanopore-only (ORA) assemblies. (e–h) Per-replicate feature-level methylation counts demonstrating replicate consistency. Consistency is higher for 5mC than for the degenerate 6mA motif. (i–l) Pearson correlation heatmaps for all six pairwise replicate comparisons. Replicate correlations are stronger for 5mC across both assemblies. (m–n) Scatterplots comparing ORA versus HRA feature-level counts across replicates, with Pearson’s correlation coefficient, r, and Jaccard index shown. Panel (m) indicates high concordance for 5mC; panel (n) shows lower reproducibility for 6mA motif. Redistributed from Schababerle et al.4 under Creative Commons Attribution CC BY license.
To see what methylation insights you could gain without further library prep, download our getting started guide for investigating methylation.
Inspired? Apply Oxford Nanopore sequencing to your own research questions and you'll never see sequencing the same way again.
Explore the nanopore sequencing solution.
Oxford Nanopore Technologies products are not intended for use for health assessment or to diagnose, treat, mitigate, cure, or prevent any disease or condition.
Gamaarachchi, H. and Stevanovski, I. et al. Targeted sequencing and iterative assembly of near-complete genomes. Nat. Commun. 16(1):10406 (2025). DOI: https://doi.org/10.1038/s41467-025-65410-x
Urtis, M. et al. Oxford Nanopore Technologies [ONT] sequencing: clinical validation in genetically heterogeneous disorders. Genes 16(11):1325 (2025). DOI: https://doi.org/10.3390/genes16111325
Ferrasse, A., Mendez, R., and Gorzynski, J.E. et al. Ensilication preserves high-molecular-weight native DNA for clinical long-read sequencing. medRxiv 25338579 (2025). DOI: https://doi.org/10.1101/2025.10.26.25338579
Schababerle, T. et al. Reproducibility and accuracy of bacterial methylome profiling using Oxford Nanopore Technologies nanopore sequencing platform. Microbial Genomics 11(11):001564 (2025). DOI: https://doi.org/10.1099/mgen.0.001564

